
MacColl's Modes of Modalities (2011), p. 180
by Schang, Fabien

Copyright according to our policy
- Aristotelian family
- Classical Sigma-7
- Boolean complexity
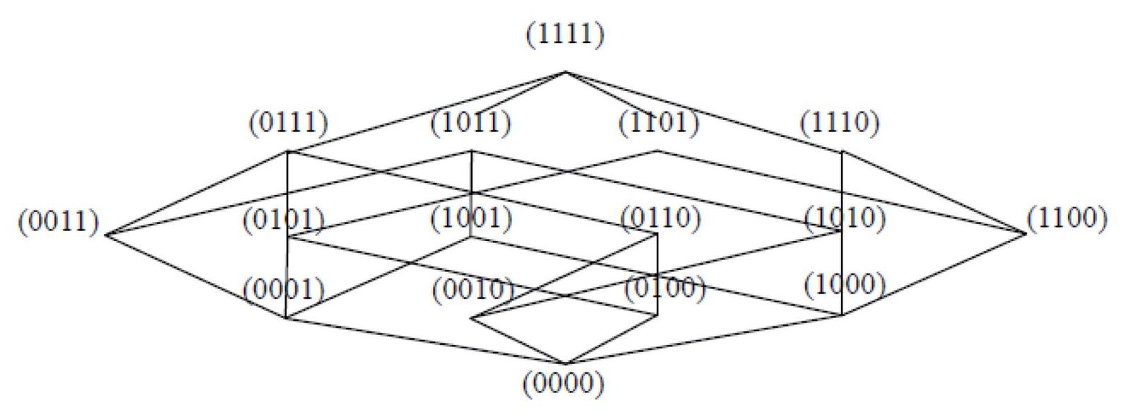
- 4
- Number of labels per vertex (at most)
- 1
- Uniqueness of the vertices up to logical equivalence
- Yes
- Errors in the diagram
- No
- Shape
- Octagon (irregular)
- Colinearity range
- 0
- Coplanarity range
- 8
- Cospatiality range
- 0
- Representation of contradiction
- By central symmetry
Logic
Geometry
- Conceptual info
- No
- Mnemonic support (AEIO, purpurea ...)
- No
- Form
- none
- Label type
- symbolic
- Symbolic field
- bitstrings
- Contains partial formulas or symbols
- No
- Contains protobitstrings
- No
- Bitstring length
- 4
- Contains definitions of relations
- No
- Form
- solid lines ,
- none
- Has arrowheads
- No
- Overlap
- No
- Curved
- No
- Hooked
- No
- As wide as vertices
- No
- Contains text
- No
- Label type
- none
Vertex description
Edge description
- Diagram is colored
- No
- Diagram is embellished
- No
- Tags
- Boolean closed ;
- non-contingent formulas ;
- Hasse diagram