
A Pragmatic Logic of Scientific Discovery (2006), p. 234
by Sallantin, Jean; Dartnell, Christopher; Afshar, Mohammad

Copyright according to our policy
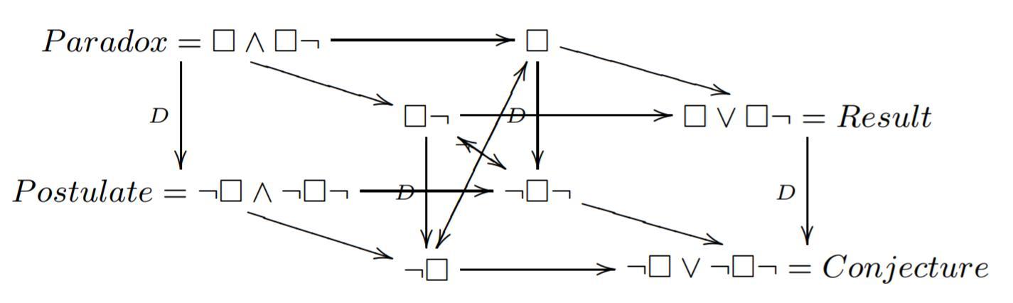
Caption
- Square of deontic judgments as a diagonal plane of the Cube
- Aristotelian family
- Jacoby-Sesmat-Blanché Sigma-3
- Boolean complexity
- 3
- Number of labels per vertex (at most)
- 2
- Equivalence between (some) labels of the same vertex
- No
- Analogy between (some) labels of the same vertex
- No
- Uniqueness of the vertices up to logical equivalence
- Yes
- Errors in the diagram
- No
- Shape
- Rectangular Cuboid (irregular)
- Colinearity range
- 0
- Coplanarity range
- 0
- Cospatiality range
- 0
- Representation of contradiction
- By central symmetry
Logic
Geometry
- Conceptual info
- No
- Mnemonic support (AEIO, purpurea ...)
- No
- Form
- none
- Label type
- linguistic ,
- symbolic
- Language
- English
- Contains partial sentences or single words
- Yes
- Contains abbreviations
- No
- Symbolic field
- logic
- Contains partial formulas or symbols
- Yes
- Logical system
- modal logic
Vertex description
Edge description
- Diagram is colored
- No
- Diagram is embellished
- No
- Tags
- Boolean closed ;
- non-contingent formulas
Style
Additional notes
- This diagram assumes the modal logic KD in the background (otherwise, the subalternations marked with 'D' would not hold). But working in KD also means that $\Box \wedge \Box\neg$ is a contradiction and that $\neg\Box \vee \neg\Box\neg$ is a tautology. In other words, this diagram explicitly contains two non-contingent formulas (apart from those two, it is a JSB sigma-3).