You're using an ancient browser to surf the modern web. Please update to the latest version (and don't use Internet Explorer!).

Leonardi.DB
a logical geometry project

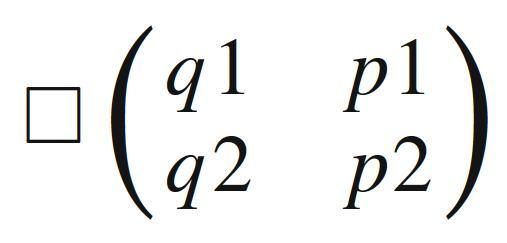
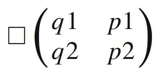
Prior on Aristotle's Logical Squares (2016), p. 3477
by Rybaříková, Zuzana

Logic

Aristotelian family
Classical Sigma-2
Boolean complexity
3
Number of labels per vertex (at most)
1
Errors in the diagram
No

Geometry

Shape
Rectangle (irregular)
Colinearity range
0
Coplanarity range
0
Cospatiality range
0
Representation of contradiction
By central symmetry

Vertex description

Conceptual info
No
Mnemonic support (AEIO, purpurea ...)
No
Form
none

Edge description

Contains definitions of relations
No
Form
none
Has arrowheads
No
Overlap
No
Curved
No
Hooked
No
As wide as vertices
No
Contains text
No
Label type
none

Style

Diagram is colored
No
Diagram is embellished
No
↑ Back to top ↑