
John Buridan on Non-contingency Syllogisms (2015), p. 452
by Read, Stephen

Copyright according to our policy
Caption
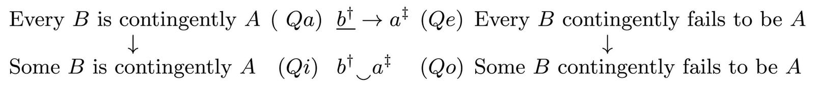
- Representation of contingency propositions in Thom’s notation
- Aristotelian family
- A Single PCD
- Boolean complexity
- 2
- Number of labels per vertex (at most)
- 1
- Errors in the diagram
- No
Logic
- Conceptual info
- No
- Mnemonic support (AEIO, purpurea ...)
- Yes
- Form
- none
- Label type
- linguistic ,
- symbolic
- Language
- English
- Contains partial sentences or single words
- No
- Contains abbreviations
- No
- Symbolic field
- logic
- Contains partial formulas or symbols
- Yes
- Logical system
- syllogistics
- Contains definitions of relations
- No
- Form
- solid lines ,
- none
- Has arrowheads
- Yes
- Overlap
- No
- Curved
- No
- Hooked
- No
- As wide as vertices
- No
- Contains text
- No
- Label type
- none
Vertex description
Edge description
- Diagram is colored
- No
- Diagram is embellished
- No