
Logical Extensions of Aristotle's Square (2008), p. 184
by Luzeaux, Dominique; Sallantin, Jean; Dartnell, Christopher

Copyright according to our policy
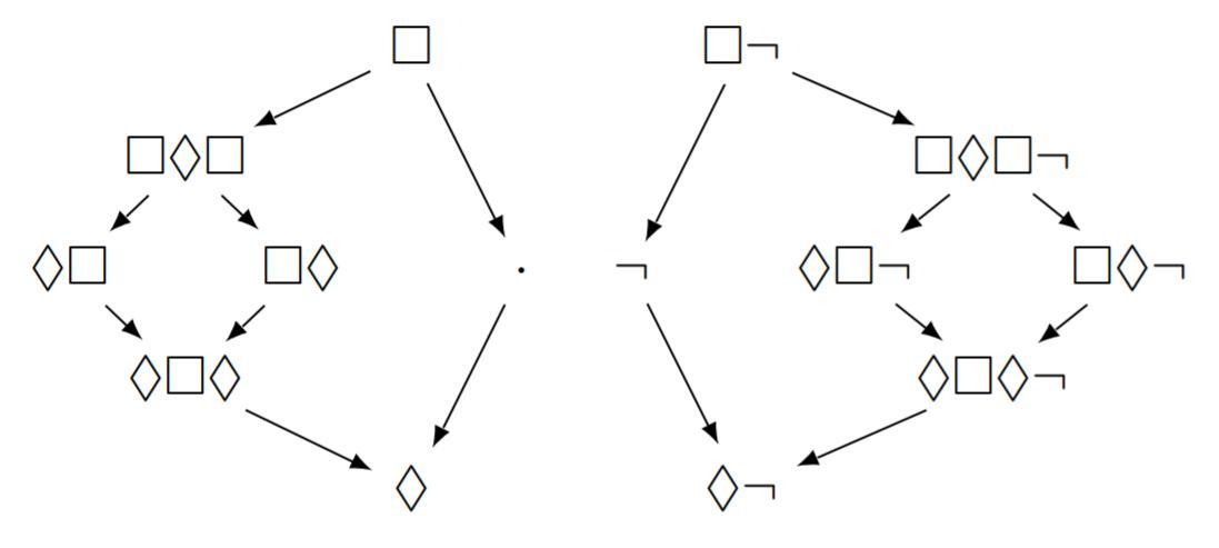
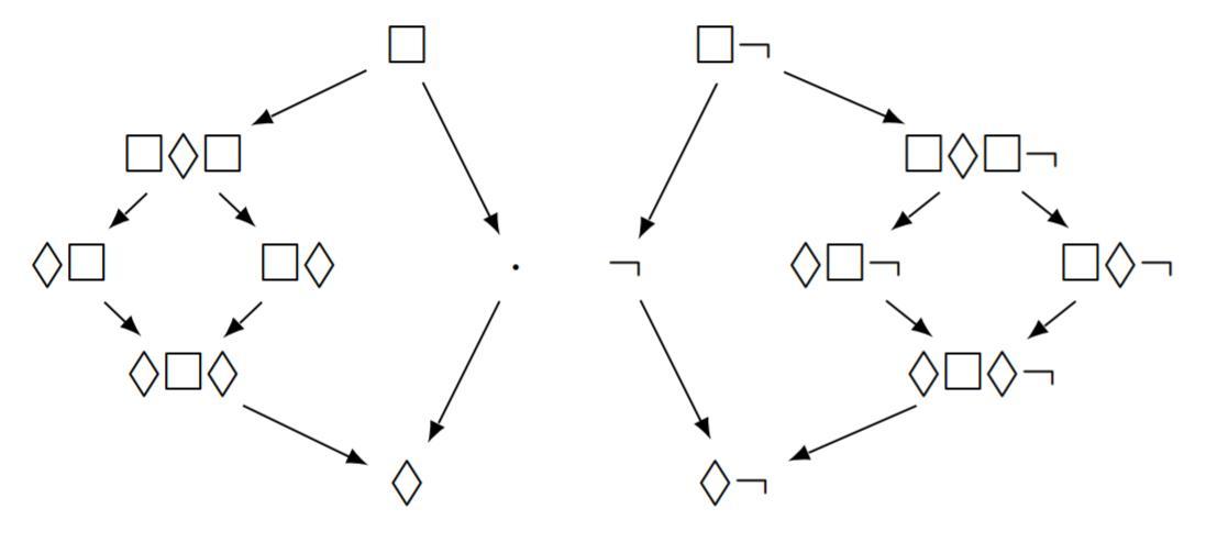
- Aristotelian family
- Sigma-7 Graph
- Number of labels per vertex (at most)
- 1
- Errors in the diagram
- No
- Shape
- Decagon (irregular)
- Colinearity range
- 0
- Coplanarity range
- 0–4
- Cospatiality range
- 0
- Representation of contradiction
- By central symmetry
Logic
Geometry
- Conceptual info
- No
- Mnemonic support (AEIO, purpurea ...)
- No
- Form
- none
- Label type
- symbolic
- Symbolic field
- logic
- Contains partial formulas or symbols
- Yes
- Logical system
- modal logic
Vertex description
Edge description
- Diagram is colored
- No
- Diagram is embellished
- No