
Logical Extensions of Aristotle's Square (2008), p. 169
by Luzeaux, Dominique; Sallantin, Jean; Dartnell, Christopher

Copyright according to our policy
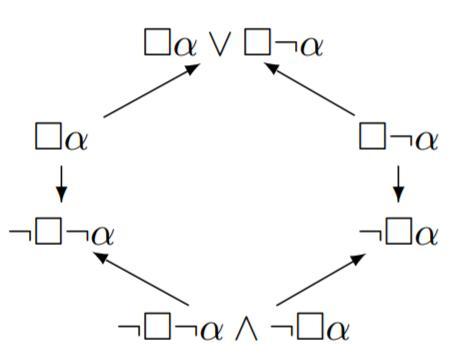
Caption
- The three hexagons from left to right: classical, paraconsistent, paracomplete.
- Aristotelian family
- Jacoby-Sesmat-Blanché Sigma-3
- Boolean complexity
- 3
- Number of labels per vertex (at most)
- 1
- Uniqueness of the vertices up to logical equivalence
- Yes
- Errors in the diagram
- No
- Shape
- Hexagon (irregular)
- Colinearity range
- 0
- Coplanarity range
- 0
- Cospatiality range
- 0
- Representation of contradiction
- By central symmetry
Logic
Geometry
- Conceptual info
- No
- Mnemonic support (AEIO, purpurea ...)
- No
- Form
- none
- Label type
- symbolic
- Symbolic field
- logic
- Contains partial formulas or symbols
- No
- Logical system
- modal logic
Vertex description
Edge description
- Diagram is colored
- No
- Diagram is embellished
- No
- Tags
- Boolean closed
Style
Additional notes
- This diagram is the leftmost one (cf. caption), i.e., "classical".