
The Development of Logic (1962), p. 614
by Kneale, William; Kneale, Martha

Copyright according to our policy
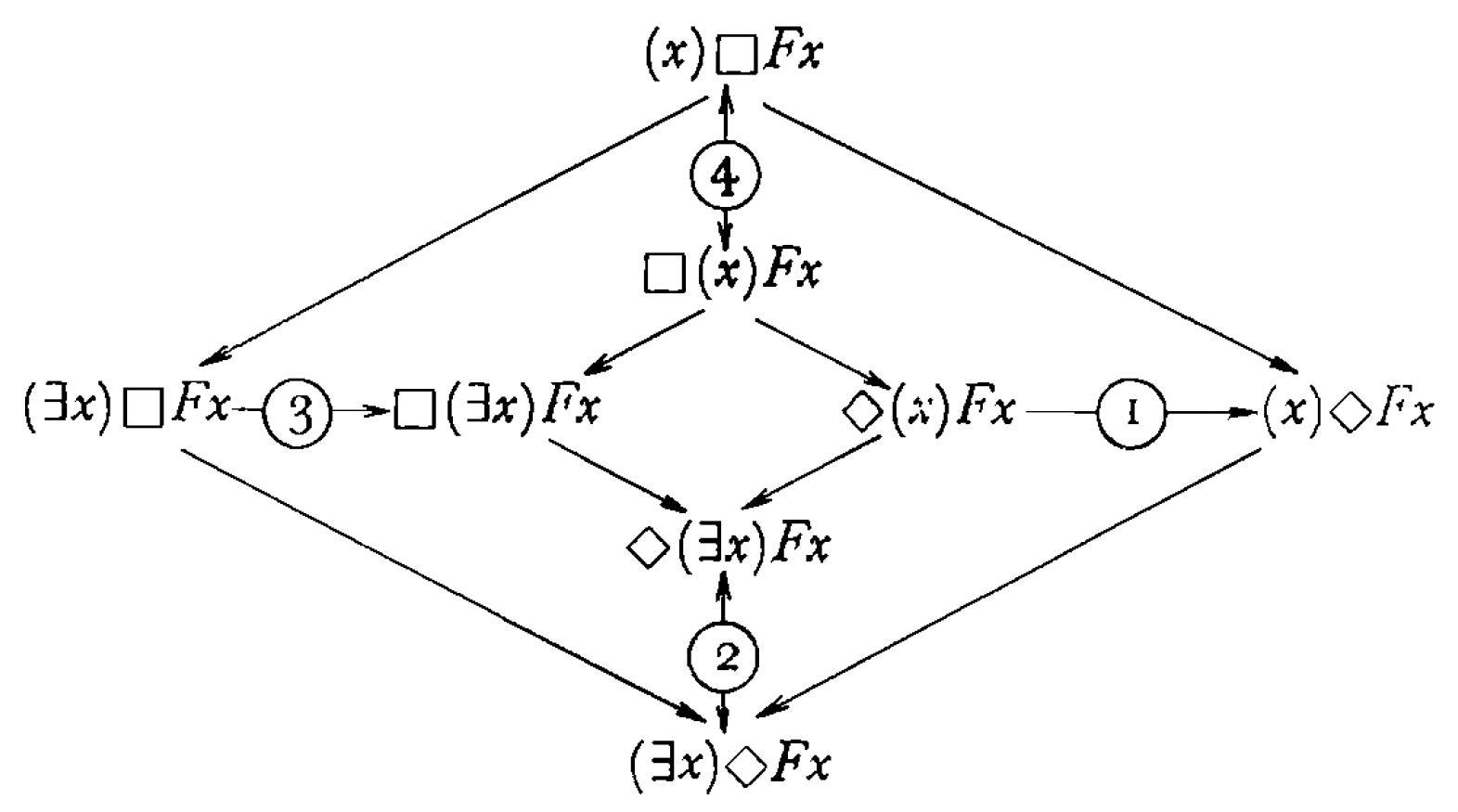
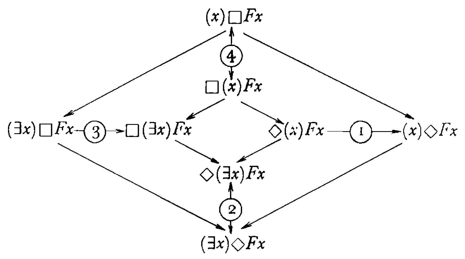
- Number of labels per vertex (at most)
- 1
- Errors in the diagram
- No
Logic
- Conceptual info
- No
- Mnemonic support (AEIO, purpurea ...)
- No
- Form
- none
- Contains definitions of relations
- No
- Form
- solid lines ,
- none
- Has arrowheads
- Yes
- Overlap
- No
- Curved
- No
- Hooked
- No
- As wide as vertices
- No
- Contains text
- No
- Label type
- none
Vertex description
Edge description
- Diagram is colored
- No
- Diagram is embellished
- No