You're using an ancient browser to surf the modern web. Please update to the latest version (and don't use Internet Explorer!).

Leonardi.DB
a logical geometry project

Universal Logic as a Science of Patterns (2015), p. 180
by Gaines, Brian R.

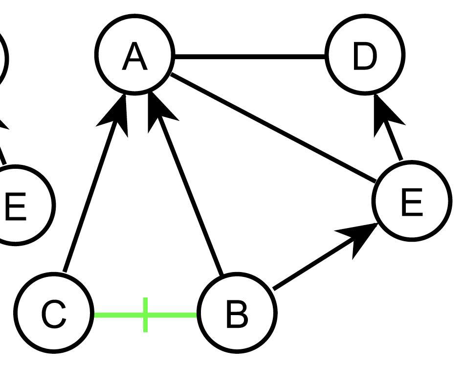
Caption

Inferred responses to the taxonomy articulation queries

Logic

Number of labels per vertex (at most)
1
Errors in the diagram
No

Geometry

Shape
Pentagon (irregular)
Colinearity range
0
Coplanarity range
0
Cospatiality range
0
Representation of contradiction
By central symmetry

Vertex description

Conceptual info
No
Mnemonic support (AEIO, purpurea ...)
No
Form
circular

Edge description

Contains definitions of relations
No
Form
solid lines
,
none
Has arrowheads
Yes
Overlap
No
Curved
No
Hooked
No
As wide as vertices
No
Contains text
No
Label type
none

Style

Diagram is colored
Yes
Diagram is embellished
No
↑ Back to top ↑