
Universal Logic as a Science of Patterns (2015), p. 157
by Gaines, Brian R.

Copyright according to our policy
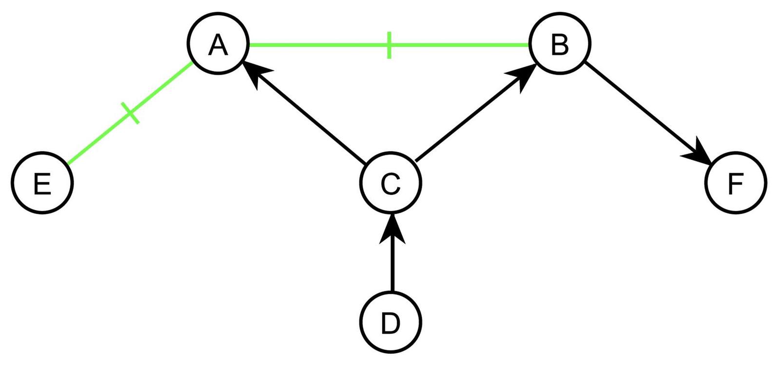
Caption
- Localization of inconsistency
- Number of labels per vertex (at most)
- 1
- Errors in the diagram
- No
- Shape
- Pentagon (irregular)
- Colinearity range
- 0
- Coplanarity range
- 1
- Cospatiality range
- 0
- Representation of contradiction
- By central symmetry
Logic
Geometry
- Conceptual info
- No
- Mnemonic support (AEIO, purpurea ...)
- No
- Form
- circular
- Contains definitions of relations
- No
- Form
- solid lines ,
- none
- Has arrowheads
- Yes
- Overlap
- No
- Curved
- No
- Hooked
- No
- As wide as vertices
- No
- Contains text
- No
- Label type
- none
Vertex description
Edge description
- Diagram is colored
- Yes
- Diagram is embellished
- No