You're using an ancient browser to surf the modern web. Please update to the latest version (and don't use Internet Explorer!).

Leonardi.DB
a logical geometry project

Universal Logic as a Science of Patterns (2015), p. 150
by Gaines, Brian R.

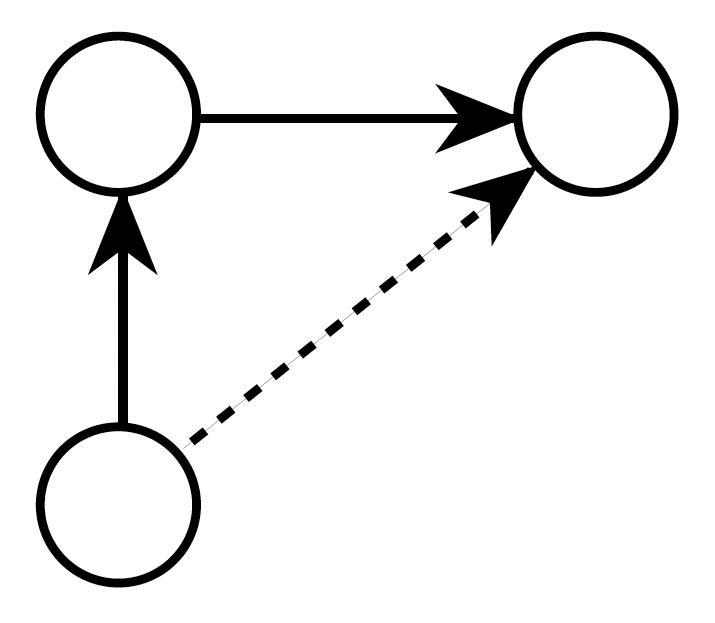
Caption

Inclusion inference pattern

Logic

Number of labels per vertex (at most)
1
Errors in the diagram
No

Geometry

Shape
Triangle (irregular)
Colinearity range
0
Coplanarity range
0
Cospatiality range
0
Representation of contradiction
By central symmetry

Vertex description

Conceptual info
No
Mnemonic support (AEIO, purpurea ...)
No
Form
circular
Label type
none

Edge description

Contains definitions of relations
No
Form
solid lines
,
dashed lines
Has arrowheads
Yes
Overlap
No
Curved
No
Hooked
No
As wide as vertices
No
Contains text
No
Label type
none

Style

Diagram is colored
No
Diagram is embellished
No
↑ Back to top ↑