
Logic-Sensitivity of Aristotelian Diagrams in Non-Normal Modal Logics (2021), p. 19
by Demey, Lorenz

Copyright according to our policy
Caption
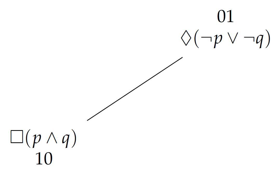
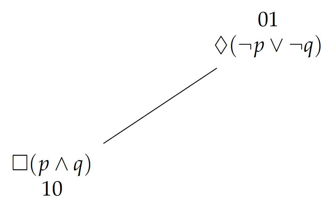
- Aristotelian diagrams for $f_2(\mathcal{F}_{1b}) = \{\Box(p \wedge q)\wedge (\Diamond\neg p\vee\Diamond\neg q), \Box (p\wedge q), \Diamond(\neg p\vee\neg q), \Diamond(\neg p \vee\neg q)\vee(\Box\neg p \wedge \Box\neg q)\}$ in two non-normal modal logics. (b) PCD for $f_2(\mathcal{F}_{1b})$ in EM.
- Aristotelian family
- A Single PCD
- Boolean complexity
- 2
- Number of labels per vertex (at most)
- 2
- Equivalence between (some) labels of the same vertex
- No
- Analogy between (some) labels of the same vertex
- No
- Uniqueness of the vertices up to logical equivalence
- Yes
- Errors in the diagram
- No
- Shape
- Digon (regular)
- Colinearity range
- 0
- Coplanarity range
- 0
- Cospatiality range
- 0
- Representation of contradiction
- By central symmetry
Logic
Geometry
- Conceptual info
- No
- Mnemonic support (AEIO, purpurea ...)
- No
- Form
- none
- Label type
- symbolic
- Symbolic field
- bitstrings ,
- logic
- Contains partial formulas or symbols
- No
- Contains protobitstrings
- No
- Bitstring length
- 2
- Logical system
- modal logic
- Contains definitions of relations
- No
- Form
- solid lines
- Has arrowheads
- No
- Overlap
- No
- Curved
- No
- Hooked
- No
- As wide as vertices
- No
- Contains text
- No
- Label type
- none
Vertex description
Edge description
- Diagram is colored
- No
- Diagram is embellished
- No
- Tags
- Boolean closed ;
- Leuven