You're using an ancient browser to surf the modern web. Please update to the latest version (and don't use Internet Explorer!).

Leonardi.DB
a logical geometry project

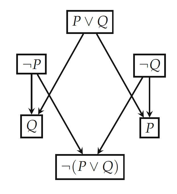
Book Review - Leonard Nelson: A Theory of Philosophical Fallacies (2017), p. 459
by Aberdein, Andrew

Caption

Leal’s reconstruction of the general form of a Nelson diagram (p. 4)

Logic

Aristotelian family
Jacoby-Sesmat-Blanché Sigma-3
Boolean complexity
3
Number of labels per vertex (at most)
1
Uniqueness of the vertices up to logical equivalence
Yes
Errors in the diagram
Yes

Geometry

Shape
Triangle (regular)
Colinearity range
0
Coplanarity range
0
Cospatiality range
0
Representation of contradiction
By central symmetry

Vertex description

Conceptual info
No
Mnemonic support (AEIO, purpurea ...)
No
Form
rectangular
Label type
symbolic
Symbolic field
logic
Contains partial formulas or symbols
No
Logical system
propositional logic

Edge description

Style

Diagram is colored
No
Diagram is embellished
No
Tags
Boolean closed

Additional notes

Aberdein states that we should be "reversing the directions of the arrows" (p. 458-459).
↑ Back to top ↑